Ладно утро во Македонија на повеќе места со појава на слаб мраз
Објавено: 31 јануари, 2026, во 09:11 часот
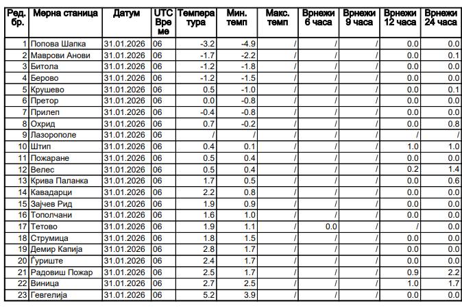
„Денешното утро во Македонија донесе температури кои на повеќе места се спуштија за неколку степени под нулата и имаше појава на слаб мрз. Исто така ова утро имаше појава и на умерена облачност а беше претежно тивко и без некој изразен ветер.

На табелата објавена од страна на УХМР може да видиме дека најладно утрово до 7 часот беше на Попова Шапка со измерени -5 степени а највисока минимална температура од 4 степени во исто време беше измерена во Гевгелија,“ соопшти метео прогнозерот Славчо Попоски.
Дума.мк




