Поповски: Ладно и облачно утро, без врнежи
Објавено: 6 ноември, 2025, во 08:35 часот
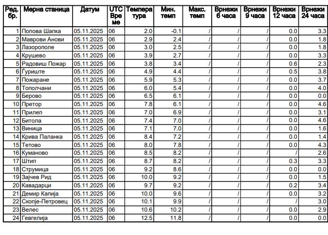
„Денешното утро во Македонија донесе позначителна облачност и релативно ладно време. Дува и слаб до умерен ветер од северен правец. И покрај облачноста времето е претежно суво и без врнежи.
На табелата можете да ги видите температурите измерени до 7 часот утринава по градови како и наврнатото количество на воден талог во литри на метар квадратен во изминатите 24 часа, до 7 часот утрово, на мерните станици на УХМР,“ соопшти метеопрогнозерот Славчо Поповски.

Дума.мк


